compile
contents
related file
- Python/pythonrun.c
- Parser/tokenizer.c
- Parser/tokenizer.h
- Parser/parsetok.c
- Include/grammar.h
- Parser/metagrammar.c
- Include/metagrammar.h
- Parser/pgen.c
pgen
This is the layout of “grammar” structure

make regen-grammar
gcc -g -O0 -Wall -L/usr/local/opt/llvm/lib Parser/acceler.o Parser/grammar1.o Parser/listnode.o Parser/node.o Parser/parser.o Parser/bitset.o Parser/metagrammar.o Parser/firstsets.o Parser/grammar.o Parser/token.o Parser/pgen.o Objects/obmalloc.o Python/dynamic_annotations.o Python/mysnprintf.o Python/pyctype.o Parser/tokenizer_pgen.o Parser/printgrammar.o Parser/parsetok_pgen.o Parser/pgenmain.o -ldl -framework CoreFoundation -o Parser/pgen
# Regenerate Include/graminit.h and Python/graminit.c
# from Grammar/Grammar using pgen
Parser/pgen ./Grammar/Grammar \
./Include/graminit.h.new \
./Python/graminit.c.new
Translating labels ...
python3 ./Tools/scripts/update_file.py ./Include/graminit.h ./Include/graminit.h.new
python3 ./Tools/scripts/update_file.py ./Python/graminit.c ./Python/graminit.c.new
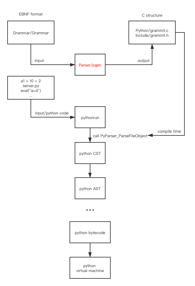
There’s a program inside the Parser/ directory. The above command will compile and run the Parser/pgenmain.o and output a program named Parser/pgen, which takes a grammar file as input and generates grammar structure, dfa tables, etc. (above diagram) as output (two C files, graminit.c and graminit.h)

Let’s focus on pgen
The built-in Parser/metagrammar.c and Include/metagrammar.h will be used as the input grammar file’s grammar
metagrammar is used for parsing the EBNF format’s grammar file
graminit is used for parsing Python ‘s source code
They are both generated in the same way, with different Grammar files

The Parser/metagrammar.c and Include/metagrammar.h ‘s grammar
MSTART: (NEWLINE | RULE)* ENDMARKER RULE: NAME ':' RHS NEWLINE RHS: ALT ('|' ALT)* ALT: ITEM+ ITEM: '[' RHS ']' | ATOM ['*' | '+'] ATOM: NAME | STRING | '(' RHS ')'
It’s like a compiler which can compile itself. For more detail please refer to Python compiler from grammar to dfa
Let’s focus on how pgen works with a simple example
% cat Grammar/ExampleGrammar
START: (NEWLINE | RULE)* ENDMARKER
RULE: NUMBER (ADD NUMBER)*
ADD: '+' | '-'
We can use the default pgen to generate code for our ExampleGrammar
make regen-grammar
Parser/pgen ./Grammar/ExampleGrammar \
./Include/examplegrammar.h \
./Parser/examplegrammar.c
With a little manual editing to make the following compile command work, the final examplegrammar.c
And compile the edited generated grammar code and compile a new pgen2 program example_grammar.sh
sh example_grammar.sh
After getting Parser/pgen2, we can verify that our grammar works correctly
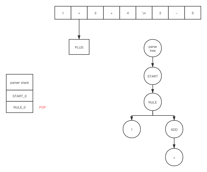
% cat my_file.txt
1 + 3 + 4
2 - 5
# run the following command will fail, our purpose is to see the dfa state
# if you comment `Parser/parser.c`'s macro and set the `Parser/parser.c`'s macro to '#define D(x) x' and rerun the above compile command
# you can see the output of DFA state is in the ACCEPT state
# it means our grammar works correctly
Parser/pgen2 ./my_file.txt \
./Include/my_file.h \
./Parser/my_file.c
the dfa of ExampleGrammar

This is the dfa due to examplegrammar.c or ExampleGrammar
parse
The first step is to parse the Grammar file according to the BuiltInGrammar and build a CST tree
The call stack of Parser/pgenmain.c

parsetok will call PyTokenizer_Get->tok_get to get tokens, for each token, PyParser_AddToken will be called
tokens are predefined in Parser/token.c and Include/token.h, which are also auto-generated from Grammar/Tokens by the command make regen-token
This is the helper structure when parsing

There are too many details. I am not going to show every element’s value in every structure. Let’s go through our ExampleGrammar with my_file.txt token by token
After push

After shift

After push

After shift

Because ADD_1 is the accept state, POP will be called, after POP

After push and shift

And so on …

make dfa
The function defined in Parser/pgen.c will take the above tree as input, and a grammar structure as output
grammar *
pgen(node *n)
{
nfagrammar *gr;
grammar *g;
gr = metacompile(n);
g = maketables(gr);
translatelabels(g);
addfirstsets(g);
freenfagrammar(gr);
return g;
}
The comment in Parser/pgen.c
/* Input is a grammar in extended BNF (using * for repetition, + for at-least-once repetition, [] for optional parts, | for alternatives and () for grouping). This has already been parsed and turned into a parse tree. Each rule is considered as a regular expression in its own right. It is turned into a Non-deterministic Finite Automaton (NFA), which is then turned into a Deterministic Finite Automaton (DFA), which is then optimized to reduce the number of states. See [Aho&Ullman 77] chapter 3, or similar compiler books (this technique is more often used for lexical analyzers). The DFA's are used by the parser as parsing tables in a special way that's probably unique. Before they are usable, the FIRST sets of all non-terminals are computed. */